Fichier:Calculs3.jpg
De Wiki de Projets IMA
Révision datée du 8 mai 2019 à 10:02 par Jobled (discussion | contributions) (calcul du courant moyen (PM2.5) sur une période)
Taille de cet aperçu : 635 × 599 pixels. Autres résolutions : 254 × 240 pixels | 1 527 × 1 441 pixels.
Fichier d'origine (1 527 × 1 441 pixels, taille du fichier : 326 Kio, type MIME : image/jpeg)
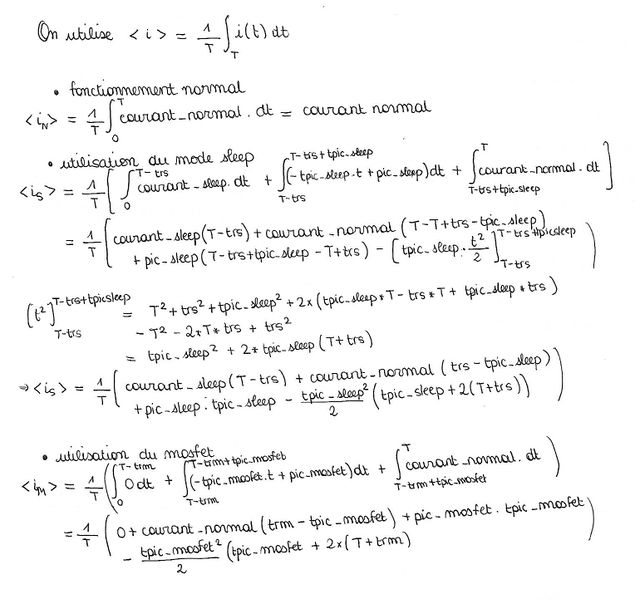
calcul du courant moyen (PM2.5) sur une période
Historique du fichier
Cliquer sur une date et heure pour voir le fichier tel qu'il était à ce moment-là.
| Date et heure | Vignette | Dimensions | Utilisateur | Commentaire | |
|---|---|---|---|---|---|
| actuel | 8 mai 2019 à 10:02 | 1 527 × 1 441 (326 Kio) | Jobled (discussion | contributions) | calcul du courant moyen (PM2.5) sur une période |
- Vous ne pouvez pas remplacer ce fichier.
Utilisation du fichier
La page suivante utilise ce fichier :