Fichier:Jeddy.PNG

De Wiki de Projets IMA
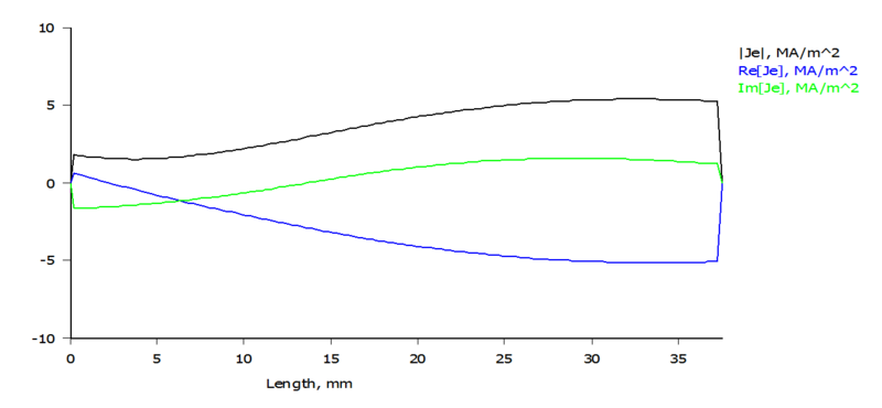
Révision datée du 9 mars 2015 à 16:35 par Qsultana (discussion | contributions) (Projet Motorisation d'un véhicule électrique. Exemple de relevé du courant induit à la surface d'un aimant)
(diff) ← Version précédente | Voir la version actuelle (diff) | Version suivante → (diff)
Fichier d'origine(1 280 × 592 pixels, taille du fichier : 13 Kio, type MIME : image/png)

Projet Motorisation d'un véhicule électrique. Exemple de relevé du courant induit à la surface d'un aimant

Historique du fichier

Cliquer sur une date et heure pour voir le fichier tel qu'il était à ce moment-là.

Date et heureVignetteDimensionsUtilisateurCommentaire
actuel9 mars 2015 à 16:35Vignette pour la version du 9 mars 2015 à 16:351 280 × 592 (13 Kio)Qsultana (discussion | contributions)Projet Motorisation d'un véhicule électrique. Exemple de relevé du courant induit à la surface d'un aimant
  • Vous ne pouvez pas remplacer ce fichier.

La page suivante utilise ce fichier :