IMA5 2018/2019 P18 : Différence entre versions

De Wiki de Projets IMA
(démodulateur de fréquence à quadrature)
(démodulateur de fréquence à quadrature)
Ligne 425 : Ligne 425 :
  
 
<math> \phi = \arctan{\frac{\frac{\omega_1}{Q\omega}}{1-(\frac{\omega_1}{\omega})^2}} </math>
 
<math> \phi = \arctan{\frac{\frac{\omega_1}{Q\omega}}{1-(\frac{\omega_1}{\omega})^2}} </math>
 +
 +
Le graphe de l'argument de la fonction de transfert du filtre est donné pour différentes valeurs de Q, le facteur de qualité.
 +
 +
 +
[[Fichier:Argument_filtre_en_fonction_pulsation_reduite.gif|600px|center]]
 +
<center>''fig 4. argument du filtre déphaseur en fonction de la pulsation réduite''</center>
 +
  
 
Schémas des systèmes.
 
Schémas des systèmes.

Version du 18 février 2019 à 16:36


Présentation générale

Description

Cet article décrit le fonctionnement et la réalisation pratique d'un émetteur et récepteur à modulation de fréquence pour la bande de radiodiffusion commerciale de 88 MHz à 108 MHz.


Radio tubes radio receiver.jpeg

Objectifs

L'objectif du projet est de réaliser à moindre coût un système de radio-diffusion dans la bande des très hautes fréquences ( very high frequency/VHF ).

L'opérateur pourra à l'aide de ce système émettre une onde HF à l'aide de la source sonore de son choix. En réception, l'opérateur pourra choisir la fréquence qu'il souhaite démodulé, en effectuant les réglages nécessaires à l'aide d'une petite commande et pourra ensuite écouter le signal démodulé à l'aide d'un petit haut-parleur.

Le système à réaliser doit être le plus performant possible en termes de qualité de signal ( rapport signal/bruit le plus faible possible ) mais doit aussi permettre d'effectuer une radiodiffusion de longue distance.

Préparation du projet

Choix techniques

La bande que nous avons choisi d'utiliser pour réaliser notre système FM est la bande de radio-diffusion des stations de "radio" dans laquelle a priori nous n'avons pas le droit d'émettre - la puissance émise doit être limitée à 50nW. Le spectre de fréquence est en effet une ressource rare et convoitée qui doit être partagée entre tous les acteurs des radio-diffusions ( GPS, Wifi, usage militaire, Radio FM...). Il est donc interdit d'émettre des ondes dans certaines bandes de fréquences afin de pas perturber le trafic.

Cependant, le choix que nous avons fait est motivé par des considérations pratiques de réalisation du projet. Dans la mesure où si nous avions utilisé la bande 144 Mhz ( désignée aussi par sa longueur d'onde : bande des 2 mètres ) qui est réservée à l'usage des radioamateurs, il aurait été plus difficile de tester séparément l'émetteur et le récepteur. En effet si l'émetteur est défectueux, il sera difficile de tester le bon fonctionnement du récepteur si aucune onde n'est émise dans la bande des 144 Mhz.Or nous savons que dans la bande 88Mhz 108Mhz, nous pouvons aisément testé le récepteur ( puisque les grandes stations émettent en continu ) et l'émetteur ( en émettant à une fréquence intermédiaire entre deux stations ).Du reste, il sera intéressant de comparer notre système de réception avec les radios commerciales; d'abord à l'écoute en comparant la pureté des signaux, ensuite en effectuant l'analyse des signaux démodulé à l'oscilloscope.


Liste des tâches à effectuer

Ce projet s'articulera autour de 5 grandes tâches à réaliser :

  • Conception de l'architecture de l'émetteur et du récepteur
  • Calculs des composants pour chaque fonction électronique
  • Simulation des divers étages électroniques
  • Réalisation du prototype de l'émetteur/récepteur
  • Ajustements du système


Liste du matériel

Émetteur radio

Filtre RF


Oscillateur de réception


Étage changeur de fréquence


Amplificateur limiteur / multiplieur


Amplificateur audio

Divers étages

Réalisation du Projet

Prologue

Radiodiffusion : liaisons hertziennes

Dans les télécommunications, on distingue trois grandes familles de supports de transmission de l'information

  • Liaisons filaires
  • Liaisons optiques
  • Liaisons hertziennes

L'intérêt principal des liaisons hertziennes réside dans l'absence de support physique entre l'émetteur et le récepteur. Pour des systèmes en mouvement, c'est parfaitement adéquat. Les inconvénients principaux des liaisons hertziennes résident également dans l'absence de support : puisque le milieu de transmission est partagée par tout le monde, comment faire pour que tout le monde puisse communiquer en même temps ? Cette difficulté impose une gestion stricte des fréquences. Chaque système dispose d'une bande de fréquence qui lui a été allouée.

Les recherches et évolutions technologiques concernant les liaisons hertziennes se concentrent essentiellement autour de la possibilité de transmettre un maximum d'information en occupant un minimum d'espace fréquentiel. La télévision numérique terrestre (TNT), par exemple, est une évolution technique en matière de télédiffusion, fondée sur la diffusion de signaux de télévision numérique. Par rapport à la télévision analogique terrestre à laquelle elle se substitue, la TNT permet de réduire l'occupation du spectre électromagnétique grâce à l'utilisation de modulations plus efficaces et d'obtenir une meilleure qualité d'image.

La transmission par liaison hertzienne consiste généralement à "accrocher" le signal basse fréquence ( information utile : voix, musique, vidéo... ) à une onde haute fréquence appelée porteuse. C'est l'opération de modulation.

Modulation FM vs modulation AM

Historiquement les premiers systèmes radio utilisaient la modulation d'amplitude (AM) pour transmettre les informations sonores. Le principe de la modulation d'amplitude fut découverte au milieu des années 1870 tandis que la modulation FM fut découverte dans les années 1930. La modulation AM a comme avantage de permettre une détection avec un appareil simple même si la puissance du signal n'est pas très importante. En contrepartie, même si les émetteurs utilisant ce type de modulation pouvaient transmettre les signaux sonores sur une bande de fréquence de 15kHz, les récepteurs ne permettaient généralement que de démoduler une bande de 5kHz, la richesse harmonique devient gravement amoindrie.

Le principal inconvénient de la modulation AM est que le signal est bien plus affecté par la transmission hertzienne. Le signal récupéré par le récepteur est de moins bonne qualité que dans le cas de la modulation FM. La modulation FM nécessite un système d'émission et de réception plus complexe que la modulation. Et bien que découverte en 1930, il faudra attendre les années 1990 pour que la plupart des stations de musiques abandonnent la modulation AM pour la modulation FM, permettant d'obtenir un meilleur signal en réception.

Antennes et bilan de liaison

L'antenne a un rôle très imporant dans les liaisons hertziennes, elle assure l'interface entre le circuit électronique et le milieu de propagation.

L'antenne est un dispositif réciproque:

- En émission, l'antenne reçoit un courant et une tension, elle génère un champ électrique et un champ magnétique.
- En réception, l'antenne reçoit un champ électrique et magnétique, elle génère tension et courant.

Le dimensionnement d'une antenne dans un système radio constitue un élément clé. En effet, dans le cas de la réception, si l'antenne n'est pas adéquate, la puissance reçue ne sera pas suffisante pour permettre au reste du circuit de l'exploiter, quand bien même les étages suivants utilisés sont particulièrement performants.

Dans le cas de l'émission, il faut optimiser la transmission de puissance entre le générateur et l'antenne.

L'impédance du générateur doit être égale à l'impédance de la ligne qui doit elle même être égale à l'impédance présentée par l'antenne. Si le système est désadapté, il existe un phénomène d'ondes stationnaires sur la ligne : une partie de l'énergie émise est réfléchie vers le générateur. On constate alors sur la ligne des minima et maxima de tension. Ainsi, pour caractériser l'impédance d'entrée de l'antenne, les constructeurs spécifient généralement le TOS ( taux d'ondes stationnaire ) de l'antenne. Le TOS représente le rapport entre la tension minimale et la tension maximale sur la ligne. plus l'impédance de l'antenne est proche de sa valeur idéale, et plus le TOS est proche de 1.

tableau TOS : Puissance réfléchie sur puissance émise.

Lors de la modélisation du système, il faut également s'intéresser à la bande passante de l'antenne. Celle-ci présente des caractéristiques optimales que dans une certaine bande de fréquence. Les dimensions de l'antenne sont liés à la longueur d'onde des ondes qu'on souhaite transmettre ou recevoir. Une antenne est donc un dipôle résonnant.

Dans notre cas, pour la bande FM, on pourra utiliser un fil en guise d'antenne filaire quart d'onde.


Ground plane ground.jpg
fig 1. antenne quart d'onde


Puisque la bande utilisée se situe autour de 100 Mhz, la longueur d'onde moyenne est de 3 mètres. Il faut donc, pour réaliser une antenne quart d'onde, une antenne d'environ 75 cm. Les ajustements peuvent être effectués lors de la réalisation pratique : on monte d'abord une antenne de dimension supérieur en coupant peu à peu le fil. En coupant petit à petit le fil, on devrait constater une augmentation de la puissance reçue puis une diminution. On notera la dimension de l'antenne pour laquelle le maximum est atteint.


Le bilan de liaison d'une liaison hertzienne permet de déterminer si le niveau de puissance reçu par le récepteur sera suffisant pour que la liaison fonctionne correctement. En effet si la puissance reçue est trop faible, le dispositif électronique de réception n'a pas la sensibilité nécessaire pour extraire le signal pertinent. La puissance reçue peut s'exprimer de la façon suivante :


 P_{R(dBm)}= P_{E(dBm)} + G_{E(dBi)} - A_{EL(dB)} + G_{R(dBi)} - L_{R(dB)}

où : '  P_{R(dBm)} et  P_{E(dBm)} désignent la puissance reçue par le récepteur et émise par le récepteur.

 A_{EL(dB)} = 20.\log\left(\frac{4.\pi.d}{\lambda}\right) désigne l'atténuation en espace libre, avec d la distance entre émetteur et récepteur et  \lambda la longueur d'onde

 G_{E(dBi)} et  G_{R(dBi)} désignent les gains d'antenne.


Le gain d'antenne traduit le fait que le rayonnement est privilégié dans une certaine direction de l'espace par rapport à une autre. Il est défini grâce à l'antenne isotrope ( antenne inexistante qui rayonne la même puissance dans toutes les directions de l'espace ). Soit un émetteur doté d'une antenne isotrope, P0 est la puissance reçue par un récepteur. On remplace maintenant l'antenne isotrope par une antenne directive, la puissance reçue par le récepteur est alors P1, plus importante que P0. Le gain d'antenne vaut alors :

 G_{dBi} = P_{1(dBm)} - P_{0(dBm)}

Ainsi, lorsqu'on définit la structure de notre système de communication hertzien, plusieurs paramètres sont à prendre en compte. Certaines antennes peuvent ne pas capter dans toutes les directions mais leur gain d'antenne peut augmenter la puissance reçue sur le capteur, la distance qui sépare l'émetteur et le récepteur doit être suffisante pour remplir le cahier des charges. La fréquence de fonctionnement du système doit être prise en compte également : plus la fréquence est importante et plus l'atténuation en air libre sera grande.

On veillera dans tous les cas à dimensionner convenablement les équipements et disposer d'une certaine marge pour s'assurer des éventuelles atténuations supplémentaires qui peuvent être dues à des réflexions multiples ( fading ) ou à la météo ( pluie, neige ... )

Semaine 1

Architecture d'un système radio

les schémas ci-dessous représente l'architecture de notre système radio. Il s'agit d'une architecture classique à laquelle nous avons adjoint quelques fonctions électroniques annexes.

Structure de l'émetteur

Emetteur schema fonctionnel.jpg
fig 2. schéma fonctionnel de l'émetteur


L'émetteur est constitué :

1 . d'une fonction électronique assurant la pré-accentuation.

Précisons ce dernier concept. Dans le domaine audio, la préaccentuation consiste à amplifier les fréquences aiguës à partir d'une certaine fréquence. L'amplification est de plus en plus importante au fur et à mesure que la fréquence augmente. Ce qui impose la connaissance de deux paramètres au moins :

-paramètre indiquant à partir de quelle fréquence le système doit commencer à faire effet : cette fréquence, appelée fréquence de coupure ou fréquence de transition, correspond au point pour lequel on note une amplification du signal de +3 dB.
-paramètre indiquant la force avec laquelle le signal traité doit être amplifié : on parle de la pente d'amplification.

La préaccentuation adoptée pour la diffusion FM n'échappe pas à cette règle. Les paramètres retenus pour cette dernière sont les suivants : - Fréquence de coupure Fc (fréquence à partir de laquelle le signal est augmenté de 3 dB) égale à environ 3180 Hz (correspondant à une constante de temps de 50 us et une pente de 6dB/octave.

La désaccentuation est le procédé inverse de la préaccentuation, qui consiste à redonner à un signal audio préaccentué, son contenu fréquentiel d'origine. Elle est assuré par le récepteur FM lors du traitement du signal.

Pourquoi accentuer les aiguës lors de la transmission FM ? D'un point de vue contenu audio pur, une préaccentuation immédiatement suivie d'une désaccentuation peut sembler ne présenter aucun intérêt. Par contre, si entre le circuit de préaccentuation et celui de désaccentuation, le signal audio passe dans un endroit "bruyant", cela permet de récupérer au bout de la chaine, un signal audio moins perturbé par le bruit généré par ses maillons


2 . d'un VCO (Voltage controlled oscillator)

L’oscillateur commandé en tension ou VCO est un système électronique qui génère un signal périodique dont la fréquence se stabilise en fonction de la tension d'entrée. Il existe différents types d'oscillateurs ( oscillateur RC, oscillateur LC ). Les oscillateurs RC sont davantage utilisés en basse fréquence, tandis qu'en haute fréquence, pour les systèmes de radiocommunication, on préférera utiliser des oscillateurs LC. Dans le cadre de notre émetteur/récepteur FM, nous utiliserons un oscillateur Clapp et un oscillateur rectangulaire ( ou différentiel cross coupled ... ? à voir avec les simulations ... ). La diode varicap est l'élément clé du VCO qui permet d'obtenir une variation de fréquence en fonction de la tension de commande. Une diode varicap, ou varactor, présente une capacité équivalente fonction de la tension inverse appliquée.


3 . d'un mélangeur

Le mélangeur est un composant électronique permettant d'assurer la fonction "changement de fréquence" en réalisant la translation du spectre de ce signal. Le mélangeur idéal est un multiplieur : il permet de multiplier deux signaux d'entrée pour obtenir en sortie un signal dont les fréquences ont été additionnées ou soustraites. Quelques formules de trigonométries s'imposent :

Soit,

S_{rf} = A_{rf} cos( \omega_{rf} t + \phi_{rf} )

et

S_{ol} = A_{ol} cos (\omega_{ol} t)

respectivement le signal modulant et le signal de l'oscillateur local.

Le mélangeur assure une opération de multiplication, on se retrouve donc en sortie avec un signal de la forme :

S_{fi} = K(A_{ol} cos (\omega_{rf} t+ \phi_{rf} ) * A_{rf} cos(\omega_{ol} t))

Or,

 cos(a) \times cos(b)= \frac{1}{2}(cos(a+b)+cos(a-b))

Donc,

S_{fi} = \frac{K}{2}A_{ol}A_{rf} (cos ((\omega_{rf}+\omega_{ol})t+ \phi_{rf} ) +  cos((\omega_{rf}-\omega_{ol})t+ \phi_{rf} ))


Graphiquement, on retroue les deux composantes cos ((\omega_{rf}+\omega_{ol})t+ \phi_{rf} ) et   cos((\omega_{rf}-\omega_{ol})t+ \phi_{rf} ) de part et d'autre de la porteuse ( l'oscillateur local).


Transposition frequence spectre.jpg
fig 3. transposition de fréquence


Il est important de noter que seule l'une des deux raies sera utilisée. On verra en quoi le problème de la fréquence image peut poser problème dans le cas de la réception.


4 . d'un ampli

L'amplificateur sert à délivrer la puissance désirée à l'antenne d'émission... La puissance nécessaire dépend de l'application. Par exemple, les puissances délivrées par les Modem ( liaison Wifi à 2.4Ghz ... ) sont bien plus faibles que celles des émetteurs FM qui doivent couvrir des zones bien plus importantes. Ces derniers peuvent délivrer des puissances de plusieurs dizaines de kWatts !

Structure du récepteur

Recepteur schema fonctionnel.jpg
fig 4. schéma fonctionnel du récepteur

Le synoptique ci-dessus présente le récepteur FM couplé à l'amplificateur audio permettant l'écoute du signal démodulé. Ce récepteur est composé de :


1 . d'une antenne de réception (!). Celle-ci doit encore une fois être dimensionner de telle sorte que le maximum de puissance

soit reçu sur la bande de fréquence désirée.

2 . d'un filtre RF. Ce filtre est censé sélectionner la bande de fréquence à démoduler. Il permet de ne présenter au premier mélangeur que la

bande désirée et ainsi d'éviter de démoduler la fréquence image.

3 . d'un premier mélangeur qui assure l'abaissement de fréquence vers une fréquence intermédiaire de 10.7Mhz.
4 . d'une commande d'accord : celle-ci permet de régler à la fois la sélectivité du filtre RF et la fréquence du VCO.

Les deux fonctions électroniques sont réglés conjointement : le circuit est donc accordé.

5 d'un filtre FI qui permet de ne récupérer que la nouvelle fréquence centrale issue de la transposition de fréquence ( Fi = F_rf - F_ol).

Cette fonction est assurée par un filtre céramique.

6 d'un amplificateur limiteur. Le détecteur FM est différent du détecteur AM, car il est sensible à la modulation de fréquence et insensible aux variations d’amplitude de la porteuse.

L'information audiofréquence étant inscrite dans la fréquence instantanée , nous pouvons amplifier et écrêter le signal FI , ce qui permettra de supprimer une grande partie des parasites qui se seront ajoutés au signal au cours de la transmission : c'est le rôle de l'amplificateur-limiteur.

7 d'une autre mélangeur, il s'agit d'un démodulateur de fréquence à quadrature.

L'idée par rapport à un mélangeur classique est que ce démodulateur ne mélangeur pas deux signaux de fréquence différents mais deux signaux de fréquence identique mais de phase différente.

8 d'un filtre passe-bas. Comme nous l'avons indiqué le signal émis a d'abord été pré-accentué. Le filtre passe-bas devra donc prendre en compte cette déformation du signal.

Ainsi, le filtre passe-bas aura sa fréquence de coupure non pas à 15kHz mais à la fréquence de coupure de l'étage de pré-accentuation, c'est-à-dire 3180 Hz.

9 d'un amplificateur audio classique, basé autour d'un LM386.

Semaine 2

recherche de fonctions électroniques.

Analyse des différents composants complexes du système ( mélangeur, changeur de fréquence, limiteur, filtre FI et céramique, choix de l'antenne, oscillateurs vs PLL, amplification, filtre d'entrée etc.) Dimensionnement des composants, calculs et autre à effectuer. Recherche de solutions permettant d'effectuer des ajustements rapides sur le montage fini ( condos variable, transformateur FI)


Semaine 3

démodulateur de fréquence à quadrature

Ce démodulateur permet de mélanger deux signaux de fréquence identique mais de phase différente. Celui-ci permet d'extraire le signal audio du signal de fréquence intermédiaire issu de la première démodulation. Cette fonction électronique s'appuie sur un filtre déphaseur qui permet de modifier la phase du signal d'entrée V.


Synoptique filtre dephaseur.jpg
fig 4. schéma fonctionnel du récepteur

Il faut maintenant dimensionner à partir de l'équation du circuit, les valeurs des composants du filtre.


\frac{V(p)}{V_{in}(p)} = \frac{Z_{eq}(p)}{Z_{eq}(p)+Z_{C_{0}}(p)}

avec

Z_{eq}(p)=Z_L(p)//Z_C(p)//R

Z_{eq}(p)=Lp//\frac{1}{Cp}//R

Z_{eq}(p)=\frac{RLp}{R+RLCp^2+Lp}

soit

\frac{V(p)}{V_{in}(p)} = \frac{RLp}{R+RLCp^2+Lp} * \frac{1}{\frac{RLp}{R+RLCp^2+Lp}+\frac{1}{C_0p}}

\frac{V(p)}{V_{in}(p)} = \frac{RLp}{R+RLCp^2+Lp} * \frac{1}{\frac{RC_0Lp^2+R+RLCp^2+Lp}{(R+RLCp^2+Lp)*C_0p}}

en simplifiant,

\frac{V(p)}{V_{in}(p)} = \frac{RLC_0p^2}{RLC_0p^2+RLCp^2+Lp+R}

\frac{V(p)}{V_{in}(p)} = \frac{C_0}{C_0+C} * \frac{RLp^2}{RLp^2+\frac{L}{C_0+C}p+\frac{R}{C_0+C}}

ie,

\frac{V(p)}{V_{in}(p)} = \frac{C_0}{C_0+C} * \frac{1}{1+\frac{1}{R(C_0+C)p}+\frac{1}{L(C_0+C)p^2}}

En posant:

\omega_1 =\frac{1}{\sqrt{L(C_0+C)}}

et

 Q =R(C_0+C)\omega_1

on obtient :


\frac{V(p)}{V_{in}(p)} = \frac{C_0}{C_0+C} * \frac{1}{1+\frac{\omega_1}{Qp}+(\frac{\omega_1}{p})^2}

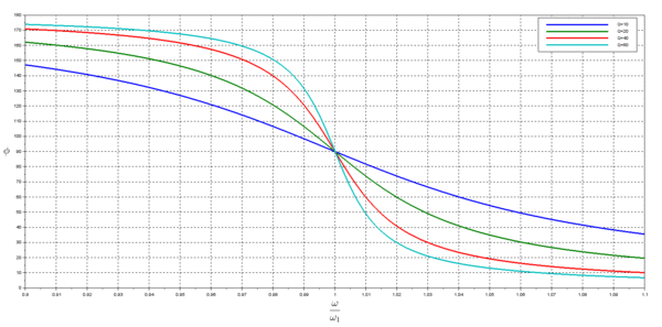
On cherche maintenant à déterminer le déphasage entre nos deux signaux, ce qui revient à calculer l'argument de notre fonction de transfert:

 \phi = \arg{T(j\omega)}=\arctan{\frac{\Im{\frac{V(j\omega)}{V_{in}(j\omega)}}}{\Re{\frac{V(j\omega)}{V_{in}(j\omega)}}}}

T(j\omega)= \frac{C_0}{C_0+C} * \frac{1}{1-j\frac{\omega_1}{Q\omega}-(\frac{\omega_1}{\omega})^2}

T(j\omega)= \frac{C_0}{C_0+C} * \frac{1-(\frac{\omega_1}{\omega})^2+j\frac{\omega_1}{Q\omega}}{(1-(\frac{\omega_1}{\omega})^2)^2+(\frac{\omega_1}{Q\omega})^2}

On obtient donc :

 \phi = \arctan{\frac{\frac{\omega_1}{Q\omega}}{1-(\frac{\omega_1}{\omega})^2}}

Le graphe de l'argument de la fonction de transfert du filtre est donné pour différentes valeurs de Q, le facteur de qualité.


Argument filtre en fonction pulsation reduite.gif
fig 4. argument du filtre déphaseur en fonction de la pulsation réduite


Schémas des systèmes. Explication détaillée des différents points délicats de certains étages du circuit ( cf accord filtre:oscillateur et le bloc pour le détecteur à quadrature) Filtre LC : expliquer le principe. Filtre Céramique: idem. ampli : préaccentuation. Fonctionnement de l'oscillateur de Clapp coté récepteur, Fonctionnement de l'oscillateur côté émetteur : signal modulant dont l'amplitude joue sur le varactor, en conséquence la fréquence du signal oscillant va être légèrement modifié... Système robuste ? à vérifier héhé discussion sur les filtres d'entrée : risque pour ajuster et correctement accordé le circuit de réception.

Choix des composants, risque sur la tolérance ( système performant malgré la tolérance, parfois 20 % ! Partiellement compensé par les condensateurs ajustables.)

Semaine 4

Simulation Spice émetteur Schéma, peut être dupliqué... Justification du TL081 : Petit tour de passe-passe permettant de redresser le signal audio dans le positif pour que l'ampli OP puisse travailler correctement ( car l'alimentation est simple ). Voir schéma. Problème : offset de l'ampli OP .... ne délivre pas de tension en dessous de 1.5 V !!! Autre solution : analyse statique de la topologie... En modifiant la valeur de R2, on modifie la tension continue d'entrée de l'oscillateur. EN considérant que l'impédance du TL081 est infinie, on obtient que la tension au point OpV+ vaut U=R1/(R1+R2+R3)*Vcc... EN modifiant la valeur de R2 on obtient un signal gravitant autour de 6V... !


(modèle Spice proche de la réalité ... !!)


Attention à bien charger les modèles SPICE de TOUS les composants à utiliser dans le circuit. L'antenne dont le modèle SPICE était inexistant empêchait l'algorithme de converger et de donner l'analyse fréquentiel du système, solution : remplacer l'antenne par une charge de 50 ohms.


Modèle Spice pour les varactors à revoir... Impossible de faire osciller le système !! Revoir éventuellement le couplage inductif dans le modèle ( penser à la directive K Li Lj Lk coeff). Transistor bloquant passant à revoir également, leur condition de "bascule" cad le switch entre état passant et bloquant n'est pas remplie... à creuser ... )

OUI ! Modèle Spice des transistors 2n2219 qui n'était pas disponible, cette fois ça marche, les petites bascules fonctionnent parfaitement... ! Il y a aussi ce petit problème avec les inducteurs qui ne jouaient pas leur rôle de transformateur... Couplage des signaux sur les collecteurs des deux transistors qui a été possible grâce à ce nouveau modèle... Bien sûr il faudra l'enlever pour réaliser le PCB! Mais la simulaton est néanmoins concluante.

Semaine 5

F=116 Mhz pour la configuration du schéma ... C_ajust = 20pF, inducteurs valant chacun 20 nH, On pourra augmenterla valeur de C_ajust ( notre capa ajustable vaut entre 5 et 30pF) pour mieux se placer dans la bande FM.


Par le calcul, la fréquence de résonance du circuit LC de l'oscillateur est de 115 Mhz... On rappelle la formule F = 1/2pisqrt(LC_tot). avec C_tot = C_9 // C_ajust // C_11

    C_ajust = 20 pF
    C_9 = 6.8pF
    C_11= 22pF
    L = 40nH

on obtient F_res = 1/2pisqrt(L*C_tot) = 115Mhz.


édition PCB, ne pas oublier qu'on peut cacher des fils dans l'éditeur.. très utile pour éviter de se perdre entre les fils de masses et les autres... !

Commentaires sur le PCB : quelques largeurs de pistes non négligeables ... Peuvent se comporter comme des antennes : faire un zoom entre R9 et Q2.

Utilisation de composants traversants " contre-nature" en haute fréquence : les liaisons sont plus longues, les résistances et inductances parasites du ciruit sont plus importantes. Mais il est plus facile d'échanger des composants ( condensateur ou self pour le circuit LC résonnant par exemple. )

Problème : antenne un peu trop proche du VCO : risque de perturbation du circuit oscillant. L4 et L3 doivent être voisines sur le PCB : on doit assurer leur couplage magnétique ( on enroule les deux selfs ensembles )

POur le montage de ces selfs : utilisation de petits picots pour pouvoir les monter directement sur le circuit imprimé.

D'abord on bobine L3 ( 5 spires) puis on enroule L4 (4 spires) dans L3. On fait une petite entaille au milieu de L3 pour pouvoir relier le milieu à Vcc. L'inductance d'une bobine est donnée par plusieurs paramètres: le nombre de spires, le diamètre, la hauteur. Une fois le circuit réalisé, on peut éventuellement desserrer ou resserrer les spires pour ajuster la valeur de l'inductance. Mais on ne peut pas augmenter/diminuer le nombre de spires et le diamètre des selfs. L'ajustement du circuit résonnant est donc réaliser à partir d'une capacité variable, qui permettra de choisir la fréquence d'oscillation.

Documents Rendus